Accelerating Translational Research and Drug Discovery with Expert Bioinformatics and Data Science

Archerz Bio provides state-of-the-art computational and bioinformatics analysis services to advance translational research and drug development in medicine and biotechnology.

We transform complex biological data into actionable insights that drive innovation and accelerate scientific breakthroughs.

Schedule a Free Consultation

Why Choose Archerz?

  • Led by Minlu Zhang, Ph.D. with 15 years of experience in bioinformatics and data science
  • Specialized in multi-omics and machine learning
  • End-to-end analysis from raw data to report
  • Rigorous, reproducible computational workflows

Our Bioinformatics Consulting Approach

Archerz Bio is dedicated to executing complex computational studies in drug discovery and translational research environments. Our bioinformatics consulting contributions emphasize:

Bioinformatics & Data Science Services

We provide comprehensive bioinformatics and data analysis services tailored to your drug discovery and translational research needs:

Multi-Omics Analytics

Transform complex biological data into actionable insights for drug discovery.

  • Genomics, transcriptomics, and single-cell analysis
  • Biomarker discovery and validation pipelines
  • Clinical-molecular data integration

Result: Publication-ready insights that accelerate discovery timelines.

AI & Machine Learning

Advanced analytics and predictive modeling for pharmaceutical research.

  • Patient stratification and drug response prediction
  • Knowledge graphs and network-based discovery
  • Custom ML workflows for biological datasets

Result: Data-driven models that reduce risk and guide decisions.

Pipeline Development

Scalable, reproducible bioinformatics infrastructure for enterprise needs.

  • Cloud and HPC pipeline architecture
  • Automated QC and validation frameworks
  • End-to-end workflow integration

Result: Robust systems that scale with your data growth.

Data Integration & Visualization

Unified data environments that connect fragmented research assets.

  • Cross-platform data harmonization
  • Knowledge management and database solutions
  • Interactive dashboards and visualizations

Result: Accessible data ecosystems that enable faster insights.

Example visualizations of analytical results for drug discovery and translational research:

Volcano plot showing drug target differential expression
Pathway enrichment analysis heatmap
ROC curve for biomarker performance evaluation
Model performance metrics and evaluation
Kaplan-Meier survival analysis plot
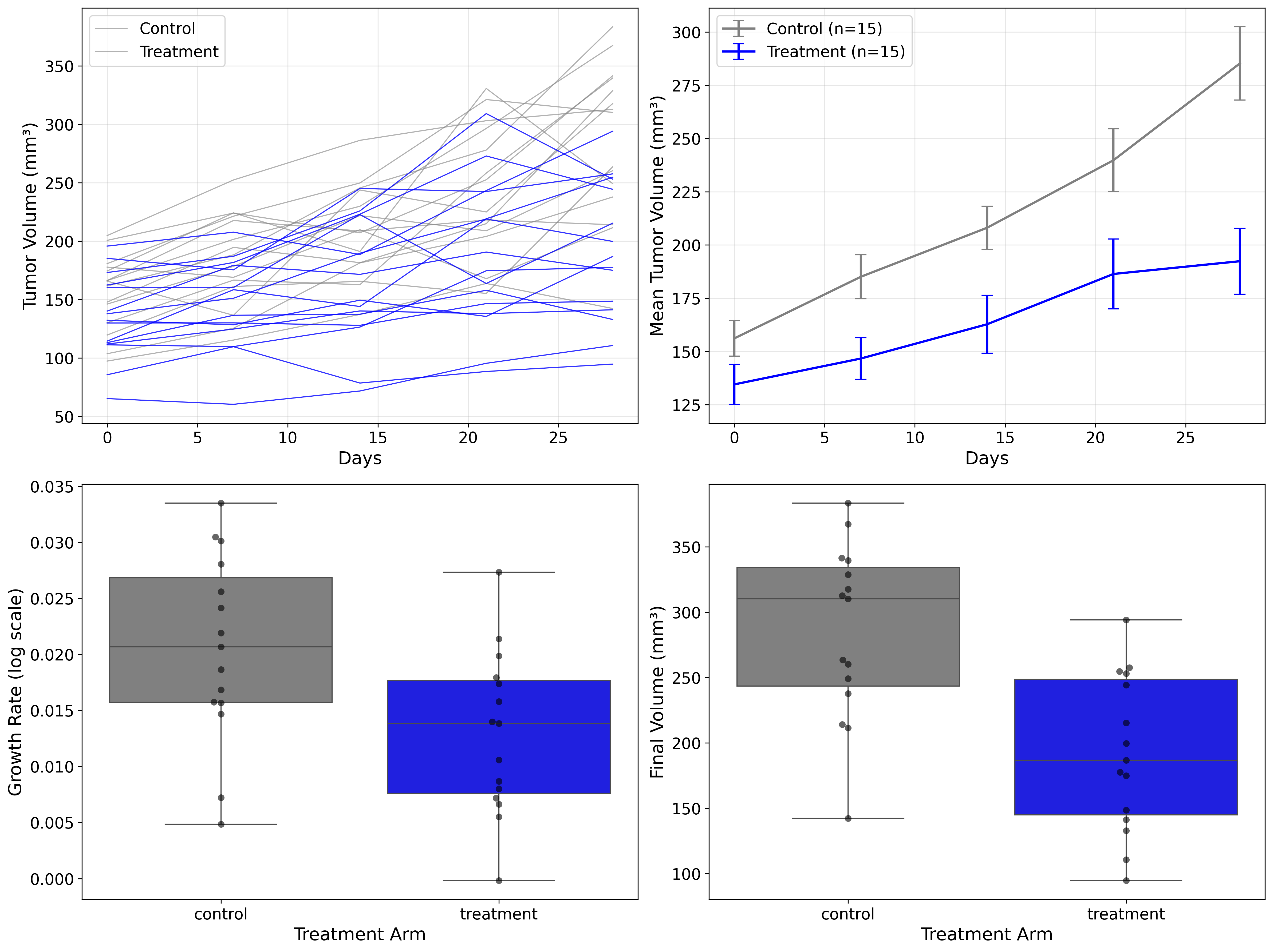
Comprehensive growth curves analysis
Lung cancer vs cervical cancer comparison analysis

Adapted from: Klein et al., Nature 2023. DOI: 10.1038/s41586-023-06651-y

O6-methylguanine-DNA methyltransferase analysis

Adapted from: Zhang et al., Am J Hum Genet 2011. DOI: 10.1016/j.ajhg.2011.05.011

Publication-ready visualizations demonstrating biomarker discovery and validation, drug efficacy, and target engagement.

Contact Us

Whether you need one-off analysis, long-term computational pipeline support, or advanced modeling, we provide flexible engagement models - Let's discuss your project needs.

About the Founder

Minlu Zhang, Ph.D., leads Archerz Bio with 15 years of experience in multi-omics analysis, clinical validation, and bioinformatics and data science leadership.

CV | LinkedIn | Google Scholar

Get in Touch

Email: [email protected]

Schedule Your Free Consultation

Tell us about your project and we'll aim to get back to you shortly.